首页 -> 正文

学术动态

中字号

优秀博士学术成果系列展示(2021-6)

发布时间 :2021年05月28日 编辑 :贾丽 浏览量 :

公共卫生学院硕士生马金沙发表自报告打鼾和代谢综合症关系的meta分析

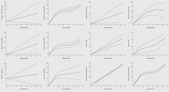
打鼾是现实生活中一种常见现象。现已有研究报道了打鼾和代谢综合征及其各成分(高血压、高血糖、低高密度脂蛋白、高甘油三酯水平和腹部肥胖)之间的关系,但各研究对于自报告打鼾和代谢综合症及其各成分之间关系的结论并不一致,且尚未有全面的总结。针对该问题,万象城体育awcsport公共卫生学院卫生统计学教研室硕士生马金沙及课题组对自报告打鼾与代谢综合症及其各成分之间的关系进行了系统的评估。

本文以流行病学观察研究的meta分析(Meta-analysis of Observational Studies in Epidemiology group, MOOSE)与系统评价和荟萃的首选报告项目(Preferred Reporting Items for Systematic Reviews and Meta-analysis, PRISMA)为指南,进行了系统综述和meta分析。通过对40篇研究共966,652名研究对象的分析发现,自报告打鼾与代谢综合症及其各成分之间存在相关性。本探究在传统meta分析的基础上,进一步探索两者间的剂量反应关系,结果显示:自报告打鼾与代谢综合症、高血压、高血糖、高甘油三酯和腹部肥胖间存在非线性相关关系,自报告打鼾与高血压、低高密度脂蛋白、高甘油三脂和腹部肥胖间存在线性相关关系。

C:\Users\Administrator\Desktop\剂反关系.tif图 自报告打鼾与代谢综合症及其各成分的剂量反应关系

打鼾是代谢综合症的危险因素,两者之间存在剂量反应关系。因此,对打鼾症状的及时发现和干预,可一定程度上降低打鼾者发生代谢综合征的风险。鉴于打鼾症状在现实生活中的易识别性,其或可成为预测代谢综合症的有效指标,具有较强的公共卫生学意义。

该工作于202010月以“Association between self-reported snoring and metabolic syndrome: a systematic review and meta analysis”发表于中科院3区期刊Frontiers in Neurology,通信作者为王彤教授。

版权所有@万象城体育awcsport研究生学院 技术支持:万象城体育awcsport网络中心