万象城体育awcsport王峻教授课题组研究为胃癌淋巴结转移的诊断及预后提供了新的理论依据
胃癌是全世界范围内发病率最高的癌症之一,在恶性肿瘤中排名第五,亚洲、东欧和南美洲的胃癌发病率相对较高。胃癌在癌症相关死亡原因中排名第三。淋巴结转移状态是胃癌的重要预后因素,其也决定着最佳治疗策略的选择。无淋巴结转移是早期胃癌实施内镜下黏膜切除术(EMR)或内镜下黏膜剥离术(ESD)的先决条件,它通过避免根治性胃切除来保留患者胃功能并维持生活质量。而对于伴淋巴结转移的胃癌,根治性胃切除术及转移性淋巴结彻底清扫是胃癌的唯一可能的治愈方式。因此,准确预测胃癌患者淋巴结转移至关重要。
当前MDCT被广泛应用于术前胃癌淋巴结转移的评估,淋巴结增大是淋巴结转移的主要诊断标准。然而MDCT依赖于大小的诊断准确度只有约50%-70%,并不能满足临床需要。胃癌淋巴结转移的准确术前诊断仍然是一巨大挑战。近年来 CT 探测器排数的增加与 CT 电影成像技术使探测更小的淋巴结成为可能。那么,计数较小的淋巴结的数目比淋巴结转移的评估更容易且准确。影像组学(radiomics)是从医学影像中提取高维定量数据的方法,通过使用一系列统计分析工具或数据挖掘算法表征肿瘤组织的微观特征,如细胞、分子甚至基因表达等。
万象城体育awcsport王峻教授课题组通过应用增强MDCT与影像组学的方法,探究了MDCT淋巴结数目作为指标预测胃癌淋巴结转移的临床有用性,并在采用不同大小计数标准的基础上,依据于肿瘤 TNM 分期,分析了其与胃癌患者的总体生存间的相关性,研究了基于增强MDCT影像组学特征的模型诊断胃癌淋巴结转移的临床价值。该研究结果为胃癌淋巴结转移的诊断及预后提供了新的理论依据。
当以直径 5mm 为阈值时 MDCT 淋巴结数目>4,直径 8mm 为阈值时 MDCT 淋巴结数目≥1 可作为辅助诊断指标,术前诊断胃癌患者淋巴结转移是否存在。两指标的诊断性能是相当的,当联合二者作为诊断标准时,诊断准确度与敏感度提高。

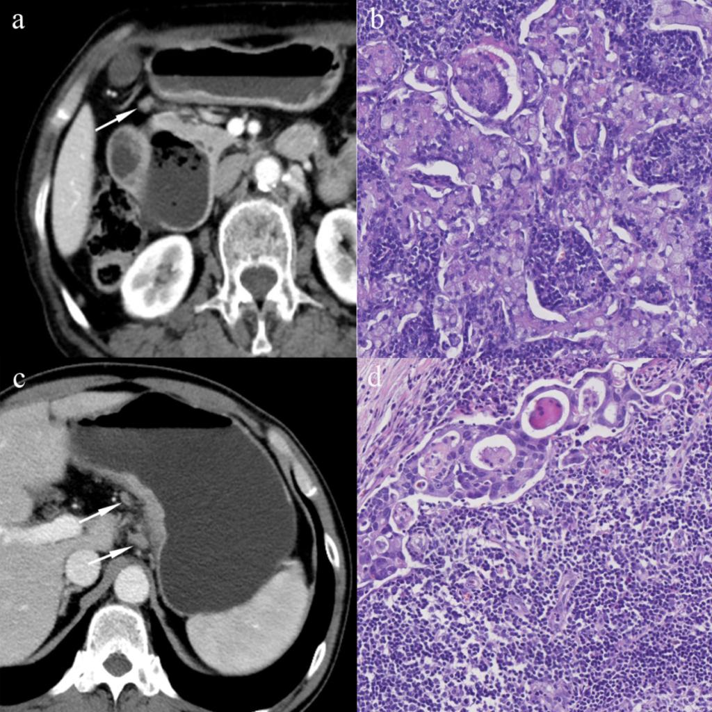
图1 区域淋巴结的CT及病理影像

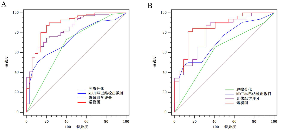
图2 不同大小标准的MDCT淋巴结数目以及二者联合标准诊断胃癌淋巴结转移的ROC曲线图
MDCT 淋巴结数目对胃腺癌切除术后的总体生存的影响依据计数标准及 TNM分期不同而不同。对于 T1-2 的胃癌患者,预后的评估更应警惕 8mm 以上的 MDCT淋巴结数目。而对于相对进展期的 T3-4, N+, 与 III 期的胃癌患者,推荐较小的大小(5mm)作为标准以 MDCT 淋巴结数目对胃癌患者进行预后评估。

图3 依据于TNM分期,MDCT淋巴结数目对胃癌总体生存的影响(8mm为阈值)

图4 依据TNM分期,MDCT淋巴结数目对胃癌患者总体生存的影响(5mm为阈值)
基于MDCT影像组学特征的模型对于预测胃癌淋巴结转移具有较高的准确度,可为胃癌的个体化诊治提供基础信息,有助于提高对临床决策的信心。此外,基于影像组学的模型还具有对胃癌患者预后分层的潜力。

图5 基于影像组学建立模型的流程图

图6 (A)训练队列和 (B)验证队列中基于影像组学的诺模图及各指标单独预测胃癌淋巴结转移的ROC曲线比较

图7 (A)训练队列和(B)验证队列四种模型的决策曲线分析

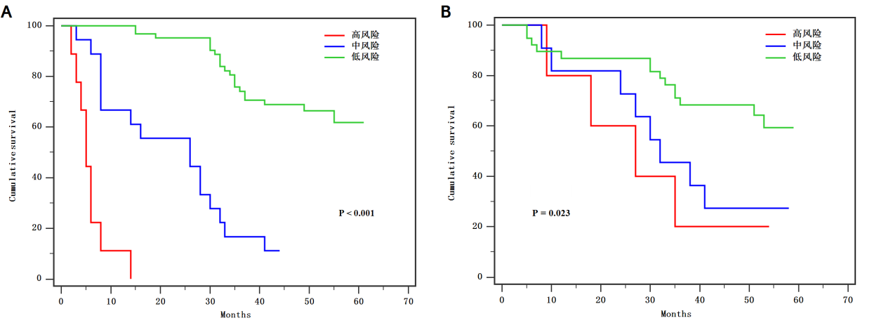
图8 (A)训练队列和(B)验证队列依据诺模图分层的胃癌患者的总体生存曲线
万象城体育awcsport王峻教授课题组在胃癌的影像诊断领域发表了论文,“A Pilot Study of Prognostic Value of Metastatic Lymph Node Count and Size in Patients with Different Stages of Gastric Carcinoma”, Cancer Management and Research(2022)。博士生高勇为论文的第一作者;王峻教授为通讯作者。